Ứng dụng AI dự báo công suất phát điện gió tại PECC2
Trong những năm gần đây, việc chuyển đổi sang năng lượng sạch và tái tạo không chỉ là một lựa chọn, mà còn là một yêu cầu thiết yếu để đạt được các Mục tiêu Phát triển Bền vững của Liên hợp quốc về năng lượng sạch và giá cả phải chăng vào năm 2030 [1]. Theo đó, điện gió đang được coi là một xu hướng phát triển năng lượng sạch trong tương lai. Nhằm tối ưu hóa việc tận dụng nguồn năng lượng tái tạo này và đảm bảo sự ổn định của hệ thống điện, Công ty Cổ phần Tư vấn xây dựng Điện 2 (PECC2) đã bước đầu nghiên cứu thành công công cụ dự báo điện gió bằng trí tuệ nhân tạo với độ chính xác trên 90%.

Tình hình phát triển nguồn điện gió và sự cần thiết của công tác dự báo công suất, sản lượng điện gió
Theo ghi nhận từ Đơn vị vận hành hệ thống điện và thị trường điện Quốc gia (NSMO), tính đến tháng 9/2024, tổng công suất nguồn điện trên toàn hệ thống đạt khoảng 87.391 MW, trong đó, tổng công suất các nguồn điện năng lượng tái tạo (điện gió, điện mặt trời) là 23.033 MW, chiếm tỷ trọng 26,4%. Theo Quy hoạch điện VIII [2], công suất điện gió ngoài khơi phục vụ nhu cầu điện trong nước sẽ chiếm khoảng 4% so với điện năng sản xuất toàn quốc vào năm 2030 và khoảng 21-25% vào năm 2050.
Điện gió mang lại nhiều tiềm năng nhưng cũng đối mặt với các thách thức như không cung cấp quán tính cho hệ thống điện, tính bất định về công suất ngắn hạn do phụ thuộc thời tiết, và sản lượng không ổn định theo mùa, ảnh hưởng đến việc quản lý và huy động nguồn điện.
Với mục tiêu đảm bảo tính hiệu quả và tối ưu trong việc tận dụng nguồn năng lượng gió, các phương pháp dự báo công suất và sản lượng điện gió đã ra đời và đem lại những hữu ích nhất định. Việc dự báo công suất điện gió có độ chính xác và tin cậy cao sẽ giúp các chủ đầu tư của các nhà máy điện gió chủ động khai thác nhà máy điện gió một cách hiệu quả và NSMO lập lịch huy động công suất, sản lượng một cách chính xác hơn, góp phần vào sự vận hành ổn định hệ thống điện.
Yêu cầu về dự báo công suất, sản lượng của các nguồn điện gió
Ngày 10/08/2022, Bộ Công Thương đã ra Quyết định số 67/QĐ-ĐTĐL để ban hành Quy trình dự báo công suất, điện năng phát của các nguồn điện năng lượng tái tạo, trong đó có điện gió. Theo đó, NSMO có trách nhiệm dự báo công suất, điện năng phát tháng tới và năm tới của các nguồn điện gió. Chủ đầu tư nhà máy điện gió nối lưới có trách nhiệm dự báo và cung cấp cho đơn vị vận hành hệ thống điện và thị trường điện các số liệu liên quan đến nhà máy điện gió.
Việc nghiên cứu đề tài dự báo công suất điện gió tại PECC2
Nhận thức ý nghĩa quan trọng của công tác dự báo công suất điện gió, vào ngày 30/11/2023, công ty PECC2 đã ra quyết định phê duyệt thực hiện nhiệm vụ khoa học và công nghệ “Nghiên cứu và xây dựng ứng dụng công nghệ AI dự báo công suất phát điện gió cho Nhà máy điện gió Tân Thuận”.
Hiện tại, nhóm nghiên cứu đã nộp sản phẩm đề tài cho công ty và đang chuẩn bị cho việc bảo vệ nghiệm thu đề tài trước Hội đồng Khoa học & Công nghệ của công ty.
Sản phẩm của đề tài bao gồm bản báo cáo đề tài, một web page có giao diện trực quan dữ liệu vận hành, dữ liệu dự báo khí tượng (Numerical Weather Prediction) và dữ liệu dự báo công suất của nhà máy điện theo thời gian thực (Real-time), và các đoạn mã lập trình (source code) liên quan của nhóm nghiên cứu.
Kỹ sư vận hành nhà máy điện gió có thể quan sát các kết quả dự báo trên giao diện web page nói trên, hoặc có thể truy xuất kết quả dự báo thông qua file .csv hoặc .excel được tải từ web page. Dữ liệu từ các file này cũng phù hợp để cung cấp theo yêu cầu của NSMO.
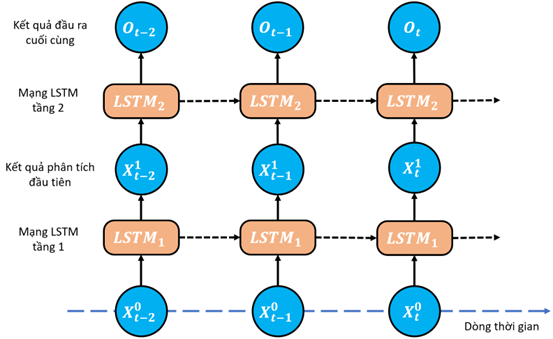
Theo nội dung thuyết minh nhiệm vụ, giải thuật Stacked Long-short Term Memory [3](Stacked LSTM) được nhóm nghiên cứu ứng dụng để dự báo công suất điện gió cho Nhà máy điện gió Tân Thuận.

Hình 1. Cấu trúc mô hình Stacked LSTM.
Nhóm tác giả đã sử dụng mô hình Stacked LSTM kết hợp với các dữ liệu đầu vào như dữ liệu đo lường trong quá khứ (nhiệt độ, tốc độ gió, công suất điện gió) và dữ liệu dự báo khí tượng để có thể dự báo được công suất điện gió của Nhà máy Điện gió Tân Thuận một cách chính xác. Kết quả sai số phần trăm tuyệt đối trung bình (MAPE) cho Nhà máy Điện gió Tân Thuận đạt yêu cầu của NSMO, như được thể hiện trong bảng sau:
Bảng 1. Kết quả MAPE cho Nhà máy Điện gió Tân Thuận
|
MAPE dự báo trong ngày, %
|
MAPE dự báo
2 ngày tới, %
|
MAPE dự báo tuần tới, %
|
|
Tháng 01-03
|
Tháng 04-06
|
Tháng 01-03
|
Tháng 04-06
|
Tháng 01-03
|
Tháng 04-06
|
|
3,8
|
3,3
|
3,9
|
3,6
|
5,5
|
4,6
|
Kết quả so sánh dự báo công suất tuần tới và công suất thực tế cho tuần từ 06/05/2024 đến 13/05/2024 của Nhà máy Điện Gió Tân Thuận được thể hiện trong hình sau:

Hình 2. Đánh giá kết quả dự báo tháng 05/2024 với mô hình dự báo tuần tới
Có thể thấy nhóm nghiên cứu đã có những kết quả khả quan trong việc phát triển công cụ dự báo công suất điện gió cho nhà máy điện gió Tân Thuận, giúp PECC2 đạt được những bước quan trọng trong quá trình làm chủ công nghệ dự báo công suất điện gió. Nếu được Hội đồng Khoa học & Công nghệ thông qua, các công việc đã thực hiện của nhóm nghiên cứu có thể được nhân rộng cho các nhà máy điện gió khác được PECC2 quản lý vận hành trong thời gian sắp tới.
Thực hiện: Nguyễn Hữu Khoa Minh
Tham khảo
[1] tainguyenvamoitruong.vn, “Thực trạng và xu thế phát triển điện gió trên thế giới.” Accessed: Sep. 19, 2024. [Online]. Available: https://tainguyenvamoitruong.vn/thuc-trang-va-xu-the-phat-trien-dien-gio-tren-the-gioi-cid19303.html
[2] xaydungchinhsach.chinhphu.vn, “TOÀN VĂN: Quy hoạch điện VIII,” xaydungchinhsach.chinhphu.vn. Accessed: Jul. 27, 2023. [Online]. Available: https://xaydungchinhsach.chinhphu.vn/toan-van-quy-hoach-phat-trien-dien-luc-quoc-gia-11923051616315244.htm
[3] M. Galphade, V. B. Nikam, B. Banerjee, A. W. Kiwelekar, and P. Sharma, “Stacked LSTM for Short-Term Wind Power Forecasting Using Multivariate Time Series Data,” IJIMAI, vol. In press, no. In press, p. 1, 2024, doi: 10.9781/ijimai.2024.07.002.